Всё о породе
Ньюфаундленд

Логин:
Пароль:
Случайное фото:
Превью фото № 392
СобакаЕсть 1 фотоPouch Cove's Shiprock Sydney
Поддержать проект Ньюфы.ру
Вы здесь: Ньюфы.инфо / Группы / Генетика и разведение / Форум / SAS / САС Субаортальный стеноз

Это форум группы ГруппаГенетика и разведение. Подробности внизу страницы.

Тема: SAS / САС Субаортальный стеноз

SAS / САС Субаортальный стеноз
Не знаю, насколько давно осознал Запад (Штаты и Европа)проблему SAS, наверно, с момента начала гибели молодых собак в возрасте до года. Во всяком случае, в Newfoundlanddog-Database.net отметка Сердце: "Без подтверждения" появилась несколько раньше, чем отметка Сердце: SAS. Как сообщает ник Stefano Terranova (USA) на бридерском форуме Фейсбук:
Veterinary Record doi:10.1136/vr.10001
Genetic evidence of subaortic stenosis in the Newfoundland dog
S. B. Reist-Marti, Dr sc nat, PhD1,
G. Dolf, Prof Dr sc techn2,
T. Leeb, Prof Dr rer nat2,
S. Kottmann3,
S. Kietzmann4,
K. Butenhoff4 and
S. Rieder, Dr sc nat, PhD1
+ Author Affiliations
Swiss College of Agriculture, Bern University of Applied Sciences, Laengasse 85, CH-3052 Zollikofen, Switzerland
Institute of Genetics, University of Bern, PO Box 8466, CH-3001 Bern, Switzerland
The Swiss Newfoundland Club (SNK), p. A. R. Erni, Ligschwil 26b, CH-6280 Urswil, Switzerland
The Newfoundlanddog Database, p. A. S. Kietzmann, Im Alten Dorf 12, D-29690 Grethem Büchten, Germany
E-mail for correspondence sabine(точка)reist(собака)alumni(точка)ethz(точка)ch

"Subaortic stenosis (SAS) is a cardiac disorder with a narrowing of the descending aorta below the left ventricular outflow tract of the heart. It occurs in several species and breeds. The Newfoundland is one of the dog breeds where it is more common and usually leads to death at early adulthood. It is still discussed to which extent SAS has a genetic background and what its mode of inheritance could be. Extensive pedigree data comprising more than 230,000 Newfoundland dogs from the European and North American population reaching back to the 19th century including 6023 dogs with a SAS diagnosis were analysed for genetic factors influencing SAS affection. The incidence and prevalence of SAS in the analysed Newfoundland population sample were much higher than those reported in previous studies on smaller population samples. Assuming that some SAS-affected dogs remained undiscovered or were not reported, these figures may even be underestimated. SAS-affected Newfoundland dogs were more often inbred and closer related to each other than unaffected dogs, which is an indicator for a genetic background of SAS. The sex had no significant impact on SAS affectedness, pointing at an autosomal inheritance. The only simple mode of inheritance that fitted the data well was autosomal codominant with lethal homozygosity and a penetrance of 1/3 in the heterozygotes.
Accepted February 8, 2012.
Published Online First 29 May 2012"
перевод мой :((
Субаортальный стеноз сужения легочной артерии (SAS) является сердечным беспорядком с сужением спускающейся аорты ниже левого желудочкового тракта оттока сердца. Это происходит в нескольких разновидностях и породах. Ньюфаундленд - одна из пород собак, где это более распространено и обычно ведет к смерти в раннюю взрослую жизнь. Это все еще обсуждается, в какой степени SAS есть генетический фон и каков его способ наследования. Обширные племенные данные, включающие более чем 230000 собак Ньюфаундленда от европейского и североамериканского происхождения, уходящего назад к 19-ому столетию, включая 6023 собак с диагнозом SAS, были проанализированы для генетических факторов, влияющих на привязанность к SAS. Уровень и распространенность SAS в проанализированной совокупности Ньюфов были намного выше, чем те, о которых сообщалось в предыдущих публикациях, где исследовалась меньшая совокупность. Предположение, что некоторые ЗАТРОНУТЫЕ SAS собаки оставались не открытыми или не сообщалось(о смерти), эта совокупность также могла быть не дооценена(так понимаю, это относится к предыдущим исследованиям). ЗАТРОНУТЫЕ SAS собаки Ньюфаундленда были чаще врожденно ближе связаны друг с другом, чем незатронутые собаки, это является индикатором для генетического фона SAS. Пол не оказывал значительного влияния на SAS affectedness, указывая на аутосомное наследование. Единственный простой способ наследования, которое соответствовало данным хорошо, был аутосомный кодоминантный со смертельным (при, в) homozygosity и penetrance 1/3 в heterozygotes."

Согласись, это уже что-то и хотя публикация довольно свежая, впечатляет массив исследования и предположительная вероятность способа наследования, а значит и выдача рекомендаций станет возможна в будущем. Нельзя инбредировать на этих производителей, накапливать их в родословной однозначно! Будем надеяться, что я правильно изложила суть публикации.

В Европе, Штатах и России есть потомки производителя, давшего 153 щенка, с пометкой Сердце: Без подтверждения, в восемь лет (рожд.2002) он с блеском выставлялся по ветеранам. Я пыталась отследить данные по потомкам, очень скудно. Датабейс любительская база :( заполняется на добровольных началах.
В Скандинавии сердце проверяют в два месяца. Разрешена эвтаназия щенков с наличием SAS. Затем в 18 мес. получают сертификат международного образца. И разводятся или не разводятся... Совсем недавно финская коллега уточняла у коллеги из Штатов, какие цифры и как должны соотносится для исключения наличия SAS. Думается, пора осознавать глубину проблемы совместно всем заводчикам ньюфов и в России также.
Резюме: породные собаки, как полученные вмешательством человека, несут в себе изначально заложенные мутации разных генетич. болезней. Надо четко осознать тот факт, что разводя собак, мы невольно можем соединить неподходящие пары и получить в будущем больное потомство, на которое еще НЕТ ТЕСТОВ. Уж раз мы занимаемся породными собаками, следует иметь в виду необходимость сбора информации (см. выше!), ее обработки, тестирования производителей, и по мере получения новых тестов, нужно доносить очередную проблему до заводчиков. Упор следует делать на внятность изложения и четкость рекомендаций по избежанию будущих проблем с потребителем.
Написало 3 человека

Сообщения

Перенесла диалог из другой темы, чтобы не потерялся.
Цитата от Абутова Татьяна (источник):DarSveZy как ты думаешь цели в работе комиссий должен определять президиум? на основании решений конференции? ждать когда гениальный план работы комиссии кого-то посетит и этот кто-то приведет породу ньюфаундленд в России в счастливое будущее?

в помете 4 собаки 2 из них имеют подобные результаты тестов

Father: Chatkantarra Sikrin
Mother: Moonshinelovers Deer Dancer Fly
Registry No: DKK 15779/2009
Date of birth: 06/12/2009
Male / Female: F
Kennel: Moonshinelover (DK)
Colors: SrSW
Cystinuria:
Heart: SAS, mild, 2,54 m/sec, Pulm normal 0,8 m/sec
Hips: A/A
Elbows: 0/0
Shoulders:
Patella:
Eyes:
Thyroid:
Title:


Father: Chatkantarra Sikrin
Mother: Moonshinelovers Deer Dancer Fly
Registry No: DKK 15777/2009
Date of birth: 06/12/2009
Male / Female: M
Kennel: Moonshinelover (DK)
Colors: SrSW
Cystinuria:
Heart: SAS, Grauzone 2,2 m/sec, Pulm normal 1 m/sec
Hips: A/A
Elbows: 0/0

ДЕЙСТВИТЕЛЬНО НЕ НУЖНА КОМИССИЯ ПО ЗДОРОВЬЮ И ТРЕБОВАНИЯ ПО ДОПУСКУ В РАЗВЕДЕНИЕ?

лучше прятать голову в песок и делать вид что все отлично...
Перенесла из другой темы.
Цитата от DarSveZy (источник):Абутова Татьяна могу выложить материал покруче из той же базы и пометов куда больше ;) Есть, есть у них комиссии по здоровью, только называются иначе, в каждой стране по-разному, но есть. Целые институты и школы при университетах ;) Они не пришли к идеалу, но прошли путь куда больший, т.к. начали раньше и действуют более слаженно. Мы в целом, наши заводчики, на отшибе :(( ну, разве что некоторые "продвинутые" тратят время и деньги на себя любимых и уж точно не делятся информацией. Мы, при всем желании, не сможем завозом производителей и выездными вязками, когда потеряем то, что имеем, восполнить генофонд. Тогда это будет возрождение породы на территории РФ ;) Я так думаю. Мы вступили в полосу вязок потомков привозных собак между собой, мы практически потеряли (по разным причинам), за редким исключением, весь генофонд, что был накоплен раньше, когда было известно как растут и развиваются ньюфы в каждом регионе...Ничего удивительного, времена были лихие.
Еще я, Татьяна, думаю, что гениального плана нет и не может быть, есть путь, который прошли другие до нас, зачем придумывать велосипед. Нужна только добрая воля заводчиков, владельцев питомников. Так ее пока нет, и какой бы план тут не написали, хоть кто ;) тут же найдутся способы не делать, лень, нет денег. На выставки тратим столько денег, я знаю, поездила в свое время. Тестов, которые есть, пальцев одной руки хватит, пересчитать. И с момента продажи до половой зрелости у владельца всяко 1,5 года есть в запасе, чтобы выйти на форум, почитать и подумать, будешь разводить свое чадо или пусть останется домашним любимцем.
Проблема SAS - глобальная проблема, можно сказать самая больная. Это признают все заводчики Европы и Штатов. И она еще не решена. Тогда как решены проблемы с цистинурией и некоторыми другими болезнями, способ наследования которых удалось расшифровать. Мы же пока только с цистинурией в целом и сладили :( за пять лет, если такими темпами и дальше будет продолжаться, заводчики захлебнуться в разборках с покупателями-владельцами очень скоро.
Перенесла из другой темы.
Цитата от Абутова Татьяна (источник):DarSveZy насколько раньше? не так уж и давно, пока не стали умирать собаки и рождаться больные пометы. в немецкой базе дати смерти самых известных производителей и их близких родственников появились в этом году. Большинство проблем с сердцем сводится к нескольким производителям которые есть в родословной каждой собаки. И заниматься этой проблемой запад начал после того как осознали какой непоправимый вред породе они нанесли...
Перенесла из другой темы.
Цитата от Абутова Татьяна (источник):DarSveZy и в итоге? сужение аорты или артерии? что ответила коллега коллеге? какую скорость они считают патологической?
Перенесла из другой темы.
Цитата от DarSveZy (источник):Абутова Татьяна

Отправлю ответ на майл. Не буду воспроизводить диалог коллег в своем переводе. А однозначных ответов на эти вопросы ТАМ, У НИХ, пока нет ;) Что уж говорить о проверках сердца щенков у нас... ну, хоть что-то кто-то делает, и это хорошо.
Перенесла из другой темы.
Цитата от belk (источник):Аорта - это и есть артерия. Самая крупная в организме любого млекопитающего. Настолько крупная, что имеет собственное название - аорта.
Чтобы легче понималось, в том числе и про

Ао́рта (греч. aorte)
главный сосуд артериальной системы. Различают три переходящих друг в друга отдела А. — восходящую часть А., дугу А. и нисходящую часть А., в которой выделяют грудную и брюшную части (рис. 1). Ветви А. несут артериальную кровь ко всем частям тела.
Восходящая часть А. отходит от левого желудочка сердца. В ее начальном отделе находится расширение (луковица А.) с тремя выпячиваниями — синусами аорты (синусы Вальсальвы). К краям синусов фиксированы полулунные заслонки, формирующие клапан аорты. В двух аортальных синусах находятся устья правой и левой венечных (коронарных) артерий сердца (рис. 2). Дуга А, простирается от места начала плечеголовного ствола до уровня IV грудного позвонка, где она переходит в нисходящую часть А., образуя незначительное сужение — перешеек. Грудная часть А. продолжается до уровня XII грудного позвонка, а брюшная часть — от аортального отверстия диафрагмы до уровня IV поясничного позвонка, где располагается бифуркация аорты. От грудной части А. отходят бронхиальные, пищеводные, перикардиальные, средостенные и задние межреберные артерии, от брюшной части А. — нижние диафрагмальные, поясничные артерии, чревный ствол, верхняя и нижняя брыжеечные, почечные, средние надпочечниковые, яичковые (или яичниковые) артерии, срединная крестцовая артерия.
Аорта относится к сосудам эластического типа. Стенка ее состоит из трех оболочек (рис. 3) — внутренней (интимы), средней (медии) и наружной (адвентиции). Внутренняя оболочка А. выстлана эндотелием, средняя представлена эластическими мембранами, содержащими гладкомышечные клетки, фибробласты и эластические волокна. Наружная оболочка образована рыхлой соединительной тканью. Кровоснабжение различных слоев стенки А. осуществляется за счет ветвей близлежащих артерий. В стенке А. расположено несколько рецепторных зон, которые, в частности, реагируют на изменения артериального давления.
Перенесла из другой темы.
Цитата от Абутова Татьяна (источник):belk и в каком месте вашего поста наступила ясность? диагноз о котором идет речь, ставится при увеличении скорости на любой артерии? в кардио исследованиях не называют аорту артерией, два основных показателя скорость на аорте и скорость на легочной артерии.
Перенесла из другой темы.
Цитата от Надежда Е (источник):Позвольте учителю внести небольшую поправку:
легочная артерия выходит из правого желудочка сердца и с неё начинается малый круг кровообращения (легочный), а аорта выходит из левого желудочка и с неё начинается большой круг кроовообращения, поэтому легочная артерия никак не может быть частью аорты
Цитата:В Европе, Штатах и России есть потомки производителя, давшего 153 щенка, с пометкой Сердце: Без подтверждения, в восемь лет (рожд.2002) он с блеском выставлялся по ветеранам.
Есть ли более точная информация?Конкретно интересует имя собаки.
На самом деле существует обширное исследование по данной проблеме.
Я не буду переводить всё самостоятельно,а закину в переводчик.Текст слишком большой.
В будущем,при желании текст можно отредактировать и добавить в библиотеку.
Цитата:Генетические доказательства субаортальном стеноза в ньюфаундленд SB Reist-Марти, Г. Дольф, Т. Лееб, С. Kottmann, С. Kietzmann, К. Butenhoff, С. Rieder Субаортальном стеноз (SAS) является сердечных расстройств с сужением нисходящей аорты ниже левого желудочка сердца. Это происходит в нескольких видах и породах. Ньюфаундленд является одной из пород собак, где он является более распространенным и обычно приводит к смерти в раннем взрослом возрасте. До сих пор обсуждается, в какой степени SAS имеет генетический фон и то, что ее тип наследования могло бы быть. Обширные родословная данных, состоящей из более чем 230,000 Ньюфаундленд собак из Европы и Северной Америки Население уходящие в 19-го века в том числе 6023 собак с диагнозом SAS были проанализированы генетические факторы влияющим SAS привязанность.Заболеваемость и распространенность SAS в анализируемом Ньюфаундленд выборки населения были гораздо выше, чем сообщалось в предыдущих исследованиях на небольших Население образцов. Если предположить, что некоторые SAS-больных собак остается нераскрытым или не сообщалось, эти цифры могут быть даже недооценивается. SAS пострадавших Ньюфаундленд Собаки были чаще инбредных и ближе связаны друг с другом, чем влияет собак, которые является показателем генетического фона SAS.Секса не оказали существенного влияния на SAS наигранность, указывая на аутосомно наследства.Только простой способ наследования, что установлены данные также были аутосомно-кодоминантные со смертельным исходом гомозиготности и пенетрантность на 1/3 в гетерозигот.
Цитата:субаортальный стеноз
Аортальный стеноз сердечных расстройств с сужением аорты. Сужение восходящей аорты является доминантой supravalvular стеноз в человеке, унаследованных сосудистые расстройства, которые могут быть вызваны мутациями в гене эластина (ELS) на хромосомы человека 7 (Ewart и др., 1994). Для субаортальном или подклапанных стеноз, Сужение происходит по нисходящей аорты ниже левого желудочка выносящего тракта сердца. Пока это не удалось ни к карте его хромосомы, или определить его тип наследования. кроме Собака, субаортальном стеноз (SAS) была описана в нескольких видов таких как свиньи, кошки, коровы и человека (Patterson и Detweiler 1963, Пайл и др. 1976, Маски и др., 2008, ОМИА 2011). SAS у собаки были зарегистрированы в ряде пород (Baumgartner Клаус и 2003). Порода конкретных высокая распространенность была найдена в Ньюфаундленд собака (Джонс и др. 1981, свободу и другие 2005), Боксер (Patterson и Detweiler 1963 года, Swift 1996 году, и Bussadori другие 2001 года, свобода и др., 2005, Menegazzo и др., Линде и Koch 2006), ротвейлер (дель Паласио и др. 1998)
и немецкая овчарка (Patterson и Detweiler 1963). В
Собака, SAS часто приводит к преждевременной смерти. Это особенно верно для
крупных пород, таких как Ньюфаундленд.
У человека, SAS, как сообщается, происходят в 0,5 процента или менее
грудных детей. У собак, SAS, по оценкам, происходит со скоростью около 0,89
процентов в чистокровных собак и 0,26 процента в ублюдки (Mulvihil и
Пристер 1973 года, свобода и другие 2005). Паттерсон (1968) сообщили
39 случаев подклапанных стеноз из 290 общего собак, имеющих один или более
сердечно-сосудистых заболеваний, что соответствует 13,4 процента. В
Ньюфаундленд, распространенности для всех видов врожденных заболеваний сердца
составляет 0,78 процента, SAS является наиболее распространенным поражением (Свобода
и др. 2005). Среди активных заводчиков, распространенность SAS в
Ньюфаундленд населения в настоящее время воспринимается как гораздо
выше.
Цитата:Наследуется по сравнению с приобретенной
Там было много дискуссий относительно того, стеноз передается по наследству, приобретенных или обоих. Свобода и др. (2005) дал хороший обзор этой дискуссии с особым акцентом на человека и Ньюфаундленд, утверждая, что существует мало доказательств основных SAS у новорожденных или щенков (Пайл и др. 1976, Пикула и др. 2005, Маркович и др. 2009). Это может привести к выводу, SAS имеет, что приобрел этиологии. Тем не менее, SAS также была наблюдается у новорожденных, в этом случае было бы врожденным пороком сердца дефекта (Кляйнерт и др. 1993, Пикула и другие 2005). семейный кластеризации SAS и SAS пострадавших братьев и сестер произошли от неизменным единокровных родителей сообщили, что указывает на генетический фон (Digilio и др. 1993, Fatimi и др. 2006). Текущая гипотеза предполагает, что наличие морфологических аномалий в выносящего тракта может привести к высоте перегородки напряжения сдвига. При наличии генетической предрасположенности и клеточных Распространение в ответ на перегородки напряжения сдвига, это может привести к Известно фиксированной и стенозирующего поражения (Муна и др. 1978, мыс и другие 1997 года,Эта гипотеза поддерживается аргументом SAS наследуется, но только развивается позже (Свобода и другие
2005, Маркович и др. 2009).
Структура населения по отношению к уровню инбридинга Ньюфаундленд собак
С 1907 по 2007 год
Фотография № 111511
Цитата:Режим наследования Свобода и др. (2005) не только показали сильное сходство в выражении SAS между человеком и собаками, но и в режиме наследования. Было высказано предположение, что SAS в человеческом существами и / или собак наследуется по аутосомно-рецессивным режиме (Digilio и др. 1993, Piacentini и др., 2007). Другие авторы предложил аутосомно-доминантному режиме (Piacentini и др. 2007) или комплекс полигенных режиме (порог модель) передачи (Fatimi и др., 2006, Ахмад и др. 2007, Piacentini и др. 2007). До настоящего времени все спекуляции на наследуемости и способ наследования основаны на очень небольшой информации о родословной или крест и обратное скрещивание суда схем (Patterson 1968 года, Пайл и др. 1976, свободу и другие 2005). В большинстве случаев в литературе, пострадавших лиц (собак и человека) ​​рождается здоровых родителей. Этот факт сильно поддерживает теорию, что SAS следующим рецессивным типом наследования. Как таковое, оно делает его чрезвычайно трудно для заводчиков, чтобы исключить носителей SAS потому, что в наиболее информативной случае (моногенных би-аллельных рецессивные наследования), только одна четверть всех потомков будет гомозиготным и Таким образом, показывают клинические признаки SAS. Тем не менее, другая половина потомков будет быть гетерозиготными носителями, не показывая никаких клинических признаков.
Цитата:SAS обследования практике
SAS часто приводит к смерти вскоре после обнаружения в раннем взрослом возрасте. ПАВ может быть диагностирован только кардиологи и включает в себя обширное обследование. Как правило, влияет носителей SAS или больные собаки, чьи сердца не были рассмотрены кардиолог не может быть четко определены на представить и поэтому не исключены из разведения на фенотипическое основе. К сожалению, шпильки заводчики часто не заявляют диагноз SAS так как они боятся негативного влияния на их репутацию.Число незарегистрированных случаев следовательно, могут быть высокими. Таким образом, селекция, направленных на ликвидацию часто смертельные заболевания в Ньюфаундленде собаки чрезвычайно трудно и неэффективно, даже в Швейцарии, где сердечные тесты для шпильки племенных животных являются обязательными. Лерой и Baumung (2011) обсуждается последствия популярной практикой спаривания на распространение генетических расстройства в деталях, в частности, на собаководства. Цель исследования состояла в том, чтобы показать, распространение SAS в контексте развития Ньюфаундленд населения и анализировать возможные факторы риска для SAS в породе собаки Ньюфаундленда.
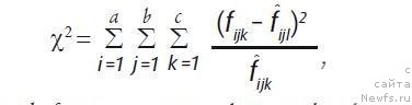
Цитата:Материалы и методы Обширные родословной данные о более чем 230000 собак ньюфаундленд от европейского и североамериканского населения, расширение обратно 19-го века, и в том числе многие животные основатель породы, были проанализированы. После проверки данных, 229854 Собаки остались в родословной, с 6023 собак (2,66 процента), имеющего достаточный исследования сердца Для определения статуса SAS, то есть аускультации с помощью стетоскопа и непрерывная волна-доплеровской эхокардиографии для максимальной скорости (Vmax) в аорте. Собаки были классифицированы как класс 1 (не влияет, Vmax <1,8 м / с), класс 2 (подозреваемых, мягко пострадавших Vmax 1,8 до 2,0 м / с) или класса 3 (серьезно пострадали, Vmax> 2,0 м / с). Классификация была сделана опытным кардиолога (д-р Майкл Deinert, коллегия Cardiologicum Е.В., 35578 Wetzlar). породного состава были проанализированы с учетом несколько важных параметров населения В связи с SAS и их взаимодействий, таких, как пол, F коэффициент инбридинга, эффективной Численность населения Ne рассчитывается по скорости инбридинга! F (Ne = 1 / (2 *! F)) и средней отношения.Параметры оценивались с помощью программ CFC (Sargolzaei и другие 2009) и PopRep (Groeneveld и др. 2009). Взаимодействие нескольких переменных были проверена с помощью лог-линейной модели, как описано по Zar (1999). Log-линейного анализа является версия хи-квадрат для многомерного анализа Данные таблицы сопряженности.Нулевая гипотеза проверяется путем вычисления хи-квадрат, как,
Фотография № 111512
с F является частота в строке I, столбец J и K уровня.
Различия в сексе в пораженных и здоровых собак были протестированы
путем применения хи-квадрат теста наносят на 2 х 2 таблицы сопряженности.
Различия между процентом инбредных и средний инбридинга
Коэффициент две группы были протестированы по двум выборкам Т-тест
для независимых выборок. Моделирование взаимодействия и значение тестирования
были сделаны с VassarStats программ в Интернете (Lowry 2011).
Средняя отношения в пострадавших и здоровых собак была протестирована
с непараметрической Вилкоксона суммы рангов испытания с использованием программного обеспечения
Выпуск "система статистического анализа» 9.1 (SAS 2011)
Цитата:Результаты Распространение SAS
Население Ньюфаундленд собака оценивается в этом исследовании была регистрация скорость менее 1000 собак в год рождения с самого начала 20-го века до 1970-х годов (рис. 1). Такой низкий регистрации Скорость в основном в связи с неполной информацией для этих ранних лет. В период с 1977 по 2007 год, период времени, в течение которого все собаки, имеющие исследования сердца достаточным для определения статуса SAS родились, число зарегистрированных щенки рождаются каждый год колебалась между 4000 и 7000.Родословная, содержащейся 32630 Полный-Сиб групп со средним размером семьи 6,39 (от 2 до 55 потомства). Среднее число потомков за отца и за плотиной составила 17,7 (от 1 до 500) и 8,7 (от 1 до 79), соответственно (результаты не показаны).Настоящая семья Размеры и количество отпрысков за сира или плотина может быть выше, так как Часто не все потомки были зарегистрированы.
Из 6023 собак, кардиологического обследования достаточным для SAS
определение статуса, 138 сильно пострадали, 143 были мягко
пострадавших и 5792 были рассмотрены неизменным (табл. 1). Оба общего
количество собак с сердечной экзамены и количество SASaffected
Собаки сильно возрос в период с начала 1980-х годов, и на терне
тысячелетий (рис. 2). В то время как заболеваемость увеличилась до 18 процентов
в 1991 году, с тех пор она стабилизировалась на уровне около 4 до 5 процентов. Рисунок 3 показывает, что
Тенденция средний коэффициент инбридинга новорожденных щенков
увеличивается каждый год до конца 1960 года, когда он упал заметно.
Эффективная численность населения несколько увеличился в прошлом
30 лет, но всегда была ниже, чем 200 животных. С огромным
увеличить в реальном размере населения в 1970-х и 1980-х годов,
количество в высшей степени инбредных собак (> 15 процентов) увеличивается пропорционально
(Рис. 1).Процент инбредных собак было 82,2 процента в наборе данных,
с коэффициентами инбридинга до 56,22 процента (Таблица 1).
Фотография № 111513
Фотография № 111514
Цитата:Факторы риска для SAS
Большинство собак исследовали на SAS (96,7 процента) инбредных к некоторой степени, с максимальным коэффициентов инбридинга 38,02 за процентов. SAS пострадавших собаки были значительно более часто и более очень родственны, чем влияет собак (табл. 1). Средняя отношения между SAS-больных собак была значительно выше, чем среди незатронутых Собаки (табл. 2). Существовал никаких существенных различий в распределении самцов и самок среди SAS пострадавших и здоровых Собаки (табл. 1).Лог-линейный анализ взаимодействий между SAS, секс и число инбредных (инбредные) дала значительные результаты для трехстороннего взаимодействия (табл. 3).Двустороннее взаимодействие удаления последствия третьей переменной и двустороннее взаимодействие с вложенные эффекты подтвердили результаты хи-квадрат в таблице 1: значимого взаимодействия были найдены для SAS х ИНБРЕДНЫХ и секс-х ИНБРЕДНЫХ, в то время как взаимодействие SAS х SEX не были значительными. Все возможные комбинации из одного или двух пострадавших родителей и здоровых отпрысков, и наоборот были найдены в Ньюфаундленде населения (Табл. 4).Только созвездия, которые никогда не происходили было два пострадавших родителей пострадавших потомство. Существовал нет доказательств для простого наследования менделевскую режиме, таких как доминирующей, рецессивные или со-доминантное наследование.
Цитата:обсуждение
Распространение SAS
В общей сложности на 4,6 процента (281) из 6023 собак с кардиологического обследования
достаточный для определения статуса SAS отображается клинических признаков SAS
(Табл. 1). Если набор данных считается представителем, это означает, что
Распространенность SAS в Ньюфаундленде населения выше, на
представить, чем SAS распространение в литературе (свобода и
другие 2005). Недавние исследования (Swift 1996 году, Bussadori и др. 2001)
предлагаю распространенности SAS до 33 процентов для боксера.
Заболеваемость в Ньюфаундленде население увеличилось до сильно
Год рождения 1991 года, когда она достигла своего пика. Из всех щенков
имеющие исследования сердца достаточным для определения статуса SAS
и родился в 1991 году, 18,5 процента были SAS пострадавших (рис. 2). восприятие
активных заводчиков, что количество SAS-больных собак растет
было подтверждено, так как высокие абсолютное число пострадавших SAS-
Собаки родился в 1997 году и 2000 году (29 случаев в год).резкое
Снижение числа как диагнозы и заболеваемости в течение последних двух лет не обязательно отражает
тенденцию к снижению, а скорее
в связи с отсутствием информации, а
кардиологического обследования достаточным для
SAS определение статуса должно
не может быть сделано, пока собаки находятся на
как минимум один год (Bussadori и
др., 2000). Таким образом, лишь немногие из
Собаки родились в 2006 и 2007 годах
уже имеющих сердечные
экспертизы достаточными для
Определение статуса SAS.
Если SAS имеет генетический фон,
спаривания родственников (с
в результате инбридинга) будет
привести к увеличению числа случаев SAS
в популяции. Большинство собак были только
незначительно (<6 процентов) или умеренно (6 к
10 процентов) инбредных, хотя инбридинг
уровни до 56,22 процента были найдены
(Табл. 1, рис 1). Такие крайние инбридинга
значения может произойти только при очень тесном
связанных собаки скрещиваются на протяжении нескольких поколений.
Например, потомки полный Сиб
вязки имеют коэффициент инбридинга
«Всего лишь» на 25 процентов. Сегодня многие селекционеры "
ассоциациями (например, в Голландии, Швейцарии
и Германия) не имеют правил для ограничения
очень тесного инбридинга. Более 80
процента всех собак в оценке населением
были до некоторой степени родственна (табл. 1), что
очень высокая по сравнению со значениями цитируется
В литературе (Leroy и Baumung 2011),
но может быть связано с глубоким родословной изучены.
С 1983 года средняя полнота родословной
была более чем на 90 процентов по сравнению с
три поколения и более 75
процентов в течение шести поколений (результаты не показаны).

Средняя величина инбридинга.
Уровень увеличилось до конца 1960-х годов, частично из-за постоянно
увеличение полноты родословной (рис. 3). Там могут быть разные причины
для последующего выраженным снижением коэффициента инбридинга.
Во-первых, многие собаки канадского происхождения, но неизвестной родословной и
родился в конце 1960-1970-х годов включены в базу данных.
Во-вторых, генетический обмен между Северной Америкой и Европой было
увеличение в то время. В-третьих, положения о цветов и узоров
были смягчены. В-четвертых, понимание возникло, что очень высокий инбридинг может
привести к проблемам со здоровьем, например, более высокая частота наследственных
заболеваний. Рисунок 3 показывает эффективный размер популяции, выводится из
ежегодные темпы инбридинга! F. Это довольно низкий (<200 животных) во всем
целое столетие. Исключением были только в 1924 и 1994 годах,
, когда в связи с резким падением среднегодовой коэффициент инбридинга
до очень низких значений, эффективная численность населения была значительно завышена.
Таким образом, хотя фактическая численность составляет несколько тысяч
Собаки, генофонд населения эквивалентно генофонда
200 связаны собак, то есть очень ограниченное количество.следствием
этого небольшого генофонда быстро растет родство между собаками,
если отношения тщательно контролироваться. Инбридинг коэффициентов в
потомки будут также быстро увеличиваться, в результате чего многие потенциально
негативные последствия. В животноводстве, эффективная численность населения ниже
От 50 до 100 считаются критическими для выживания и здоровья
породы (Meuwissen 1999 года, ФАО, 2007). Таким образом, инбридинг уровней в
Ньюфаундленд породы должны находиться под пристальным наблюдением.
Цитата:Факторы риска для SAS SAS пострадавших собаки были значительно более часто и более высокой инбредных (табл. 1 и 3), чем влияет собак.Несколько ниже, Родословная полнота влияет собак по сравнению с пострадавшими Собаки (результаты не показаны) могут объяснить, часть этой разницы. средний отношения между SAS-больных собак также был значительно выше , чем среди незатронутых собак (табл. 2), что указывает на генетический фон ПАВ. Появление SAS существенно не различались между полами (табл. 1). Похожие пропорции SAS-пострадавших Собаки произошли у мужчин (43,17 процента) и женщины (56,83 процента), соответственно. При взгляде на инбридинга в качестве второго фактора (табл. 3), значимых взаимодействий не было найдено между числом инбредных и SAS (более инбредных среди SAS пострадавших собак) и количество инбредных и секс (более инбредных в рамках мужчин), в то время как SAS и секса не было значимого взаимодействия (не более SAS пострадавших мужчин). Большее число инбредных у самцов, скорее всего, потому, что разведение мужчины обычно сильнее отобраны и имеют больше потомков чем самок. Таким образом, как и в других исследованиях (Patterson 1968 года, Баумгартнер и Клаус 2003 года, Петрич и Цветко 2009), никаких доказательств того, Оказалось, пола, влияющих на любовь SAS. С родословной информации, не было никаких доказательств простой Режим наследования SAS таких, как совместное доминантным, рецессивным или доминирующего (Табл. 4). Некоторые исследования показывают, комплекс наследства (Свобода и др., 2005, Маркович и др. 2009). Следует иметь в виду, , что SAS обычно не могут быть диагностированы при рождении, но только в конце собак жизнь. Развитие SAS можно управлять с помощью комплекса генетического фона, по окружающей среде или обоих. Более подробную информацию об экологическом факторы и локусов / аллелей (SNP данных), необходимых для получения более полное представление о влиянии на окружающую среду или нескольких аллелей / локусов на SAS.
Если анализ ограничить моногенных, биаллельных
наследования для SAS, только в этом режиме
наследования, которая соответствует данным этого
и других исследований (Patterson 1968, Маркович
и др. 2009) достаточно хорошо это кодоминантные
наследования с летальным гомозиготности
за причинение SAS аллеля S. Таким образом, все
SAS-больных собак будут гетерозиготными.
Выпускники, которые гомозиготных по
SAS вызывает аллель не будет жизнеспособной и
умрет до или вскоре после рождения. В
Следовательно, пометы двух пострадавших родителей
будет в среднем меньше, чем у
два здоровых родителей, как один из четырех
братья и сестры будут гомозиготными SAS
аллель, а не жизнеспособна. К сожалению, это было
Часто бывает, что не все братья и сестры - и
Особенно не мертворожденные щенки - помета
были зарегистрированы в базе данных, так что не
дальнейшие исследования по этой гипотезе
можно было с данным набором данных. Кроме того,
смертельным гомозиготности может объяснить, почему это крайне редко наблюдать
SAS у щенков (свобода и др., 2005, Маркович и др. 2009)
и ни у плода (Свобода и другие 2005): гомозиготные плодов
может быть прервана на очень ранней стадии беременности. Если режим наследования было моногенных и гомозиготы (SS)
были жизнеспособными, менделевскую наследования привел бы до 50 процентов (один
пострадавших родителей или SS Ss), а 75 процентов или более (два пострадавших родителей
SS или Ss), пострадавших в потомках, соответственно. Эти цифры значительно
выше, чем наблюдаемое число пострадавших отпрысков в исследовании
населения (табл. 4). Более того, когда гомозигот жизнеспособны и
воспроизводить, потомки двух пострадавших родителей значительно чаще
пострадавшим от SAS, чем отпрыски одного пострадавшего родителей. Это не было
верно в исследовании населения (табл. 4).
На основании данных, представленных в таблице 4, он может быть гипотеза
, что вызывает SAS аллель является не только смертельным, когда гомозиготных,
а также, что его пенетрантность (или, скорее, частота выявления пострадавших
собак) составляет около одной трети. Эта гипотеза, в соответствии с
Процент пострадавших и здоровых потомков пострадавших родителей
(Табл. 4). Учитывая тот факт, что есть несообщаемого и незамеченными
случаев SAS - которая смещает число пострадавших потомков
к неизменным потомков, как показано в таблице 4; согосподствующие
наследования с летальным гомозиготности и пенетрантность 33,3 до
100 процентов кажется наиболее подходящим простым типом наследования
для SAS в Ньюфаундленде. Тем не менее, полигенных наследства не может
быть исключена.
Если предположить, что потомки родителей с неизвестным SAS
Статус являются репрезентативными для всего населения, частота
гипотетической согосподствующие, леталь SAS S в популяции
около 1,4 до 4,2 процента (таблица 4). Эта частота находится в том же диапазоне
как частоты аллелей другого смертельного генетического заболевания (Manatrinon и
др. 2009, Лерой и Baumung 2011).
Фотография № 111515
Фотография № 111516
Цитата:Выводы
Проанализированы Ньюфаундленде население было в высшей степени инбредных и имел Эффективный размер популяции менее 400 животных. SAS-пострадавших Собаки были чаще инбредных и более тесно связаны друг с другом чем не влияет собак, что предполагает генетическую фоне SAS. В анализируемом Ньюфаундленд населения заболеваемость и Распространенность SAS были гораздо выше, чем сообщалось в более ранних Исследования в области народонаселения образцы, которые меньше. Учитывая тот факт, что некоторые SAS пострадавших собаки остались незамеченными или не сообщается, эти цифры могут быть даже недооценивается. Далее инбридинга может привести к дальнейшему увеличению числа SAS пострадавших животных, если носителях вероятно SAS вызывает аллель не являются (или не может) исключен из разведения. Секс не оказали существенного влияния на наигранность SAS, указывая, что SAS наследования аутосомно. Учитывая данные исследуемой популяции она может быть предположение, что SAS следующим моногенных совместно доминирующим типом наследования с частичной к полной пенетрантностью (33,3 на 100 процентов). Тем не менее, эта гипотеза должна быть подтверждена дополнительными подходы, например, классического анализа сегрегации.
Фотография № 111517
Весь материал доступен на английском языке здесь http://veterinaryrecord.bmj.com/content/170/23/597.full.html
Lady Большое спасибо за перевод. Это именно та публикация,результат тех исследований, на которую дана ссылка в заявленном топике:))
Цитата:Во всяком случае, в Newfoundlanddog-Database.net отметка Сердце: "Без подтверждения" появилась несколько раньше, чем отметка Сердце: SAS.
Цитата:В Европе, Штатах и России есть потомки производителя, давшего 153 щенка, с пометкой Сердце: Без подтверждения, в восемь лет (рожд.2002) он с блеском выставлялся по ветеранам.
Начав рыться в базе,я нашла слишком много таких собак,классных собак,давших в наше время прекрасных потомков,собак которых продолжают использовать с такой отметкой.

На мой письменный вопрос обращённый к редакторам сайта Newfoundlanddog-Database.net,сегодня утром я получила ответ следующего содержания:
Цитата:Hello Veera Andronova,
Herz: ohne Befund - means - heart without damage.
...
Что означает- Сердце без повреждений!

В утренней дискуссии с Klaus Ruker - заводчик и эксперт породник
Цитата:ohne Befund, means everything was ok. Check with ultrasound, dopple Echo end everything what the modern medicine know. SAS is not related to the term
...
ohne Befund, означает что всё отлично.Проверено ультразвуком,эхо допплер и всё о чём знает современная медециа. SAS не имеет связи с этим термином.
и камень с души... а вот мне они не ответили, как впрочем, не в первый раз :((

Ответ

Для того, чтобы писать сообщения в форуме, необходима регистрация. Мы приглашаем вас зарегистрироваться, это не сложно.

Если вы уже зарегистрированный пользователь - введите свой логин и пароль в полях авторизации - вверхний левый угол наших страниц.

Об этом форуме

Данная страница - это форум группы ГруппаГенетика и разведение.
Данная группа публична. Это значит, что на неё распространяются правила сайта, а за их соблюдением следит администрация группы.
Администрация группы: Ньюфаундлендовед

Чатик
3 апреля 2026
19:23 Эльвира: несколько минут крутится
19:23 Эльвира: загрузка медленная, а здесь сообщения уходят моментально
19:36 Эльвира: новье загружалось 8 минут 50 сек.
10 апреля 2026
12:22 Эльвира: От нас ушла Галина Бондаренко, Мадам Габо... Галя умерла 25.08.2025. Мы переписывались, осенью она пропала, а в декабре с её страницы написал сын, что мамы нет.
12 апреля 2026
22:17 Alla: https://newfs.info/myroom/letters/ выдаёт ошибку
13 апреля 2026
08:16 Соziдатель: Alla, спасибо, поправил
16 апреля 2026
22:29 Надежда Е: Будем жить?
20 апреля 2026
19:19 Соziдатель: Ну, если люди начнут возвращаться, то и сайт будем развивать дальше. Починки уж все сделаем :)
21 апреля 2026
18:14 Healena: Урааа! Мы хотим возвращаться!
24 апреля 2026
11:36 lesika: Я вот Галю что-то вспомнила , олененок в ее исполнении был бесподобен
25 апреля 2026
14:27 Эльвира: Она вообще была бесподобна... очень жаль
15:52 DarSveZy: Спасибо , Евгений, за возможность регистрации нового форумчанина Александры Маруцкой, питомник ПаДеДе )
26 апреля 2026
10:31 night-73: Надо-надо сайт восстанавливать. Мы все хотим вернуться, да и новых, желающих зарегистрироваться много.
15 мая 2026
19:55 Соziдатель: Вот, видимо первое что нужно поправить, как-то улучшить процесс регистрации..
19 мая 2026
12:25 Эльвира: Всё у меня стало открываться моментально!!!!
Статистика сайта
1.309 s, 380 q
© 2006 Ньюфы.ру
// Редактор: Кирилл Ермаков
// Программист: Евгений Ненаглядов
Обратная связь
Правила Сайта
Ссылка на это сообщение.
Кликните правой кнопкой мыши, выберите «Скопировать ссылку» или аналогичный пункт меню.
Защита от сборщиков адресов для спама.